
プロジェクトスケジューリングの手法の1つにPERT(Program Evaluation and Review Technique)があります。
PERTを書くことによって順序関係のある作業で構成されているプロジェクトを能率よく実行していくことができます。
今回はPERTについての概要と実際の過去問での解き方を書いていきます。
↓生産計画とスケジューリングの概要についてはこちら
PERTとは?
PERT(Program Evaluation and Review Technique)とは、順序関係のある複数の作業で構成されるプロジェクトを効率的に実行するためのスケジュールを作成する手法です。
PERT は上図のような作業の流れを表し、この表記法はアローダイアグラムと呼ばれます。
アローダイアグラムでは、作業を矢印の線で表しています。この線のことをアクティビティ(作業)と呼び、作業の結合点である丸をノードと呼びます。
最も早く作業を開始できる日程のことを最早着手日と呼びます。
各作業をいつまでに着手したら良いか、この日程のことを最遅着手日と呼びます。
開始から完了までに複数の経路が存在することが多いが、その中で最も時間のかかる経路(作業の遅れが許されない経路)をクリティカルパスと呼びます。クリティカルパスは最早着手日と最遅着手日が一緒になります。
日本でも年功序列での評価がどんどん無くなってきており、成果にて評価されるようになってきています。 しかし転職する際にはどうしても前年の給料を基準にして給与交渉されることがほとんどです。 私も転職を4回しましたが全て前職の給与を基準に話を進めてましたが正直もっと早く転職をしておけば良かったと思っています。 転職することで給与をあげることはあまり難しくありません。 また新たな環境に移ることは大変な苦労がありますが大きな成長ももたらしてくれます。 なので一定のビジネススキルをつけたなら早めに転職を行い給与をあげていくことは重要な戦略になります。 転職を成功させるには素晴らしいエージェントを味方につけることが大変重要になってきます。 【キャリアスタート】 よいエージェントを味方につけてより良い会社に入ることでさらなる成長が見込めます。 【キャリアスタート】では以下のような実績があります。
では完全無料で以下のサービスが提供されていますので気になる方は一度ご活用してみてはいかがでしょうか?
PERT(アローダイアグラム)の解き方 中小企業診断士試験の過去問での具体例
中小企業診断士試験の平成30年に以下の問題が出題されています。
作業 | 作業日数 | 先行作業 |
A | 3 | なし |
B | 4 | なし |
C | 3 | A |
D | 2 | A |
E | 3 | B , C , D |
F | 3 | D |
〔解答群〕
ア このプロジェクトのアローダイアグラムを作成するためには、ダミーが 2 本 必要である。
イ このプロジェクトの所要日数は 8 日である。
ウ このプロジェクトの所要日数を 1 日縮めるためには、作業Fを 1 日短縮すれ ばよい。
エ 作業Eを最も早く始められるのは 6 日後である。
アローダイアグラムの作成
上記の表にある上から順にアローダイアグラムにしていきます。
1. Aの作業
まずはAのアクティビティを作成します。
Aは先行作業がないので1のノードからアクティビティを伸ばします。
2. Bの作業
次にBのアクティビティを作成します。
Bも先行作業がないので1のノードからアクティビティを伸ばします。
3. Cの作業
次にCのアクティビティを作成します。
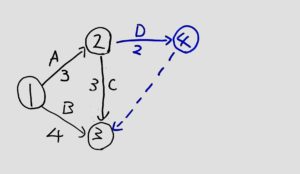
Cは先行作業がAのため2のノードからアクティビティを伸ばします。
4. Dの作業
次にDのアクティビティを作成します。
Dは先行作業がAのため2のノードからアクティビティを伸ばします。
そしてDは2つのアクティビティの先行作業になっており、1つはE、もう1つはFです。
Fの先行作業はDのみなので2からDのアクティビティを4に向けて伸ばします。
そしてEの先行作業でもあるためBとCか集まっている3に向けてダミー線を伸ばします。
5. Eの作業
次にEのアクティビティを作成します。
Eは先行作業がB、C、Dのため3のノードからアクティビティを伸ばします。
6. Fの作業
最後にFのアクティビティを作成します。
Fは先行作業がDのため4のノードからアクティビティを伸ばします。
最後のアクティビティになるので5に向けて伸ばします。
7. 最早着手日の記入
次に各ノードに最早着手日を記載していきます。
2に関してはA以外のアクティビティはないので「2」を記載します。
3に関してはB、C、Dのアクティビティが集まっており、その中の最も日数がかかる経路の日数を記載します。
最もかかるのはA→Cのルートになるので「6」と記載します。
4に関してはD以外のアクティビティはないので2のノードの「3」にDのアクティビティの2日は足して「5」を記載します。
5に関してはEとFのアクティビティが集まっているので、その中の最も日数がかかる経路の日数を記載します。
8. 最遅着手日の記入
次に各ノードに最遅着手日を記載していきます。
最後の5のノードの最早着手日から順番に最もかかる経路の日数を引いていきます。
9. クリティカルパスを確認
最後にクリティカルパスを確認します。
最早着手日と最遅着手日が同じ経路がクリティカルパスになるので今回のずでは
1→2→3→5の経路になります。
解答群の確認
アの解答
ア このプロジェクトのアローダイアグラムを作成するためには、ダミーが 2 本 必要である。
ダミー線は4→3の1本のみとなるためこの解答は不適切になります。
イの解答
イ このプロジェクトの所要日数は 8 日である。
最後の5のノードの最遅着手日は9になっているのでこの解答は不適切になります。
ウの解答
ウ このプロジェクトの所要日数を 1 日縮めるためには、作業Fを 1 日短縮すれ ばよい。
プロジェクトの所要日数を縮めるためにはクリティカルパス上の作業を短縮する必要があります。
クリティカルパスは1→2→3→5になっており、作業Fはクリティカルパス上にはないので不適切になります。
エの解答
エ 作業Eを最も早く始められるのは 6 日後である。
最も早く始められる日を確認するには最早着手日を確認します。
Eのアクティビティが出ているのは3のノードなので3の最早着手日を確認すると「6」となっているのでこの解答が適切で正解となります。
↓生産計画とスケジューリングの概要についてはこちら